หน้าแรกเศรษฐกิจ-การเงิน“ตร.”สั่งทุก จัดทำบัญชีผู้เหมาะสม จัดทัพ เตรียมแต่งตั้ง”นายพลแก้มลิง”จับตาโยกสลับนายพลพื้นที่ เจ้าปัญหา วาระเมษา นี้

“ตร.”สั่งทุก จัดทำบัญชีผู้เหมาะสม จัดทัพ เตรียมแต่งตั้ง”นายพลแก้มลิง”จับตาโยกสลับนายพลพื้นที่ เจ้าปัญหา วาระเมษา นี้

เมื่อวันที่ 18 ก.พ. 2564 ที่สำนักงานตำรวจแห่งชาติ(ตร.)ผู้สื่อข่าวรายงานว่า พล.ต.ท.กฤษณะ ทรัพย์เดช ผบช.สกพ.ได้มีคำสั่งเวียน เป็นบันทึกข้อความ ส่วนราชการ ลงวันที่ 16 กุมภาพันธ์ 2464 เรื่องการพิจรณาจัดทำบัญชีข้อมูลผู้เหมาะสมเลื่อนตำแหน่งสูงขึ้น ผบช. หรือตำแหน่งเทียบเท่า ผบก. ในสังกัด สง.ผบ.ตร. หรือตำแหน่งเทียบเท่า โดยในคำสั่งดังกล่าวระบุว่า: ด้วย ตร. จะดำเนินการคัดเลือกแต่งตั้งข้าราชการตำรวจวาระเดือนเมษายน ซึ่งจะต้องดำเนินการให้แล้วเสร็จใน 30 มย.64 ตามกฎ ก.ตร. ว่าด้วยการแต่งตั้งข้าราชการตำรวจ พศ.2561 ข้อ 7(2)เพื่อให้การคัดเลือกแต่งตั้งข้ราชการตำรวจดังกล่วเป็นไปตามกฎหมาย ระเบียบและหลักเกณฑ์ที่เกี่ยวข้อง ตร. จึงได้สั่งการให้หน่วยและหน่วยงานพิจารณาสรรหาข้าราชการตำรวจระดับ รอง ผบก. ถึง รอง ผบช. หรือตำแหน่งเทีบเท่ ที่มีคุณสมบัติครบถ้วนตามกฎ ก.ตร.ฯ โดยให้จัดทำบัญชีข้อมูลผู้เหมาะสมเลื่อนตำแหน่งสูงขึ้นและข้อมูลอื่น ๆ เพื่อประกอบการพิจารณาตามรูปแบบที่กำหนดแล้วส่งไปยัง ตร. (ผ่าน ทพ.) ภายใน 19 ก.พ.(รายละเอียดปรากฏตามเอกสารที่แนบมาพร้อมนี้)จึงเรียนมาเพื่อโปรดพิจารณา”หนังสือดังกล่าวระบุ”

ทั้งนี้มีรายงานว่า การจัดทำบัญชีครั้งนี้ เพื่อจัดเตรียม การแต่งตั้ง ตำแหน่งที่ปรึกษาพิเศษ(ยศ พล.ต.อ.) มีจำนวน 10 ตำแหน่งตำแหน่งผู้ทรงคุณวุฒิพิเศษ(ยศ พล.ต.ท.) 20 ตำแหน่ง และตำแหน่งผู้ทรงคุณวุฒิ(ยศ พล.ต.ต.) 30 ตำแหน่ง

โดยการพิจารณาครั้งนี้ หลักเกณฑ์ที่ใช้ในการแต่งตั้ง ต้องเป็นไปตาม กฎ ของ ก.ตร. ที่ระบุดังต่อไปนี้ ข้อ 1 กฎ ก.ตร. นี้ให้ใช้บังคับตั้งแต่วันถัดจากวันประกาศในราชกิจจานุเบกษาเป็นต้นไป-ข้อ 2 ให้เพิ่มความต่อไปนี้เป็นข้อ 11/1 ของหมวด 1 บททั่วไป ของกฎ ก.ตร. ว่าด้วยการแต่งตั้งข้าราชการตํารวจ พ.ศ. 2559”ข้อ 11/1ตําแหน่งที่ปรึกษาพิเศษสํานักงานตํารวจแห่งชาติ ผู้ทรงคุณวุฒิพิเศษสํานักงานตํารวจแห่งชาติ และผู้ทรงคุณวุฒิสํานักงานตํารวจแห่งชาติรวมถึงตําแหน่งที่จะคัดเลือกแต่งตั้งทดแทนตําแหน่งตามข้อ 28/1 (3) มิให้นํามานับเป็นตําแหน่งว่างเพื่อนํามาคํานวณสัดส่วนจํานวนตำแหน่งในการพิจารณาเลื่อนตําแหน่งสูงขึ้นตามข้อ 11”-ข้อ 3 ให้เพิ่มความต่อไปนี้เป็นข้อ 28/1 ของบทที่ 3 วิธีการคัดเลือกหรือแต่งตั้งของผู้มีอํานาจ ของหมวด 3 วิธีปฏิบัติในการดําเนินการคัดเลือกหรือแต่งตั้ง ของกฎ ก.ตร. ว่าด้วยการแต่งตั้งข้าราชการตํารวจ พ.ศ. 2559”ข้อ 28/1 การคัดเลือกแต่งตั้งข้าราชการตํารวจดํารงตําแหน่งที่ปรึกษาพิเศษ สํานักงานตํารวจแห่งชาติ ผู้ทรงคุณวุฒิพิเศษสํานักงานตํารวจแห่งชาติ และผู้ทรงคุณวุฒิสํานักงานตํารวจแห่งชาติ ให้เป็นไปตามหลักเกณฑ์ ดังต่อไปนี้(1) ตําแหน่งที่ปรึกษาพิเศษสํานักงานตํารวจแห่งชาติ ผู้ทรงคุณวุฒิพิเศษสํานักงานตํารวจแห่งชาติ และผู้ทรงคุณวุฒิสํานักงานตํารวจแห่งชาติ ให้ผู้บัญชาการตํารวจแห่งชาติคัดเลือกรายชื่อจากข้าราชการตํารวจที่ดํารงตําแหน่งผู้ช่วยผู้บัญชาการตํารวจแห่งชาติ รองผู้บัญชาการ และรองผู้บังคับการ หรือตําแหน่งเทียบเท่า แล้วแต่กรณี (2) การคัดเลือกข้าราชการตํารวจตาม (1) ให้พิจารณาจากผู้ที่มีคุณสมบัติ ดังต่อไปนี้(ก) มีระยะเวลาการดํารงตําแหน่งตามข้อ 16(ข) เป็นผู้ที่มีอายุตั้งแต่ห้าสิบเก้าปีบริบูรณ์ขึ้นไปและมีเวลาราชการเหลือไม่เกินหกเดือน(3) ให้พิจารณาข้าราชการตํารวจที่จะคัดเลือกแต่งตั้งเรียงตามลําดับอาวุโสจนครบ กรอบจํานวนตําแหน่งในกรณีที่มีตําแหน่งว่างเหลือจากการพิจารณาดังกล่าวผู้บัญชาการตํารวจแห่งชาติสามารถคัดเลือกรายชื่อข้าราชการตํารวจนอกจาก (2) (ข) ที่มีคุณสมบัติครบถ้วนและมีความเหมาะสมที่จะได้รับการเลื่อนตําแหน่งสูงขึ้นให้ดํารงตําแหน่งผู้ทรงคุณวุฒิพิเศษสํานักงานตํารวจแห่งชาติและผู้ทรงคุณวุฒิสํานักงานตํารวจแห่งชาติที่ว่างนั้นและทดแทนผู้นั้นได้ แต่ทั้งนี้ ต้องไม่เกินกรอบจํานวนร้อยละห้าสิบของจํานวนตําแหน่งว่าง โดยมิให้ปัดเศษทศนิยมเป็นจํานวนเต็มข้าราชการตํารวจผู้ใดที่ได้รับการคัดเลือกแต่งตั้งให้ดํารงตําแหน่งผู้ทรงคุณวุฒิพิเศษสํานักงานตํารวจแห่งชาติและผู้ทรงคุณวุฒิสํานักงานตํารวจแห่งชาติตามวรรคสองเมื่อถึงวาระการแต่งตั้งประจําปีให้ผู้มีอํานาจดําเนินการคัดเลือกแต่งตั้งผู้นั้นไปดํารงตําแหน่งอื่นทุกราย โดยห้ามมิให้คัดเลือกแต่งตั้งไปดํารงตําแหน่งที่ปรึกษาพิเศษสํานักงานตํารวจแห่งชาติ ผู้ทรงคุณวุฒิพิเศษสํานักงานตํารวจแห่งชาติและผู้ทรงคุณวุฒิสํานักงานตํารวจแห่งชาติ เพื่อให้รองรับการคัดเลือกแต่งตั้งผู้มีคุณสมบัติตาม (2)(4) การคัดเลือกแต่งตั้งข้าราชการตํารวจตาม (1) (2) และ (3) วรรคหนึ่งและวรรคสอง ให้ดําเนินการแล้วเสร็จภายในเดือนเมษายนของทุกปี เว้นแต่การคัดเลือกแต่งตั้งข้าราชการตํารวจให้ดํารงตําแหน่งในคราวแรกนี้ ให้ดําเนินการแล้วเสร็จภายในวันที่ 31 กรกฎาคม 2560 หากการคัดเลือกแต่งตั้งได้เริ่มดําเนินการแต่ไม่แล้วเสร็จภายในเวลาดังกล่าว ไม่ถือว่าการดําเนินการที่ทํามาแล้วต้องเสียไป”

มีรายงานเพิ่มเติมอีกว่า พล.ต.อ.สุวัฒน์ แจ้งยอดสุข ผบ.ตร.อาจจะเสนอ พล.อ.ประยุทธ์ จันทร์โอชา นายกรัฐมนตรี ในฐานะประธานคณะกรรมการข้าราชการตำรวจ (ก.ตร.)ให้แต่งตั้งโยกย้ายในระดับระนาบเดียวกันในระดับ ผู้บัญชาการ(ผบช.) ผู้บังคับการ(ผบก.) ในพื้นที่ทีมีปัญหาบกพร่องในเรื่องต่างๆ เช่นพื้นที่มีบ่อนการพนัน พื้นที่ ที่มีการการลักลอบขนแรงงานต่างด้าวผิดกฏหมาย พื้นที่ปล่อยให้มีการระบาดโรคโควิด 19 รวมถึง พื้นที่ ที่ไม่สนองนโยบาย ตามที่ ตร.สั่งการ พร้อมทั้งกรณีที่ฝ่ายสมาชิกสภาราษฏร ฝ่ายค้าน นำมาอภิปราย รวมถึง โยกย้ายแต่งตั้งข้าราชการตำรวจที่ ถูก จเรตำรวจแห่งชาติเสนอให้พิจารณา ความผิดต่างที่เกิดขึ้นแล้วตรวจสอบว่าผิด วินัยต่างๆ รวมๆประมาณอีก 70 นาย ซึ่งมีการคาดการใว้ว่า การแต่งตั้งโยกย้าย ให้ดำรงในตำแหน่งที่ สูงขึ้น และปรับหมุนในตำแหน่งระนาบเดียวกันครั้งนี้ รวมแล้วประมาณ 100 กว่าตำแหน่ง

ทั้งนี้ยังมีรายงานอีกว่า ในการแต่งตั้งในครั้งนี้ มีนายพลบางนาย มีความพยายามจะใช้พลังพิเศษ ให้ ก.ตร.มีมติ ขอยกเว้นหลักเกณฑ์แต่งตั้ง พ.ร.บ.ตำรวจฯ เพื่อให้พิจาณาเลื่อนในตำแหน่งที่สูงสุดขึ้น ซึ่งทำให้บรรดาข้าราชการตำรวจระดับนายพล ต่างพากันวิพากษ์ วิจารณ์พร้อมทั้งให้จับตาดูว่า ประธาน ก.ตร.และคณะกรรมการฯ จะยินยอมหรือไม่.?

สำหรับ ลำดับอาวุโสระดับผู้ช่วย ผบ.ตร. 3 ลำดับแรก คือ 1.พล.ต.ท.รอย อิงคไพโรจน์ เกษียณอายุราชการ ปี 2567 2. พล.ต.ท.วิรุฬ เอี่ยมไพจิตร์ เกษียณอายุราชการ ปี 2564 และ 3. พล.ต.ท.เพิ่มพูน ชิดชอบ เกษียณอายุราชการ ปี 2564

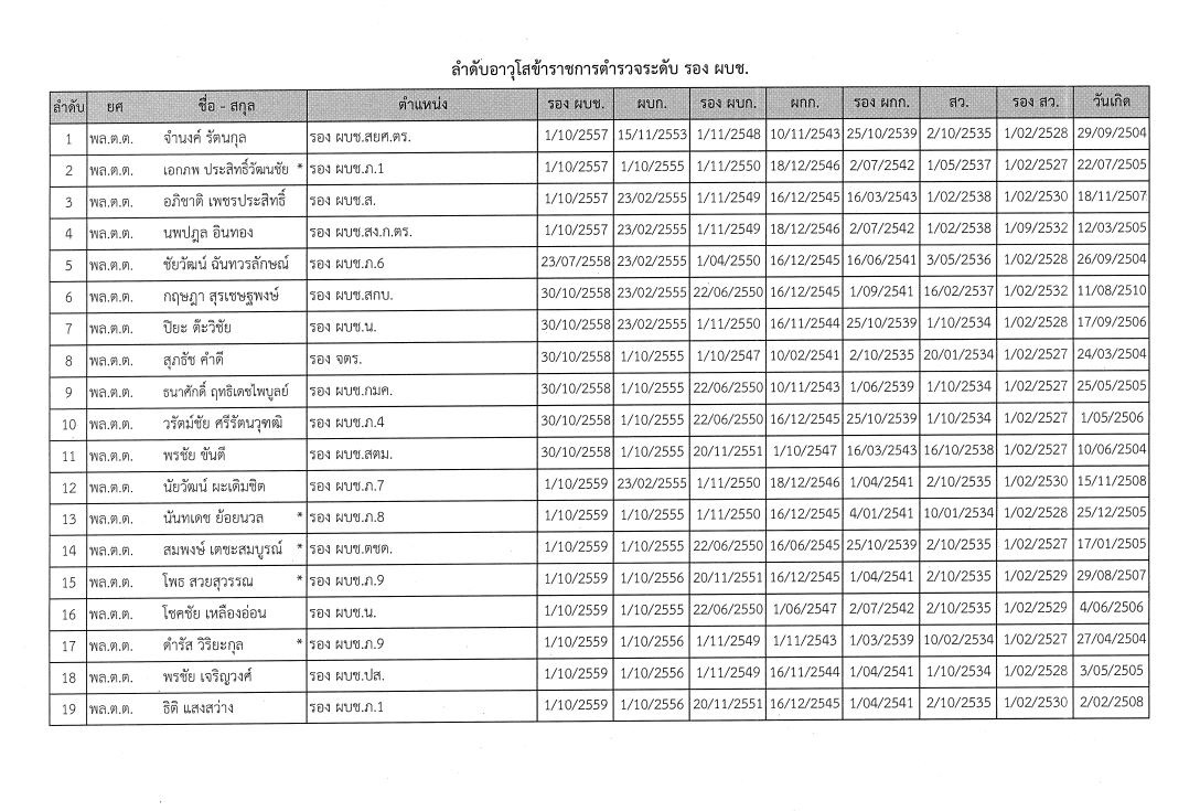
รอง ผบช. อาวุโส 3 ลำดับแรก ได้แก่ 1. พล.ต.ต.จำนงค์ รัตนกุล รอง ผบช.สยศ.ตร. เกษียณอายุราชการ ปี 2564 2. พล.ต.ต.เอกภพ ประสิทธิ์วัฒนชัย รอง ผบช.ภ.1 เกษียณอายุราชการ ปี 2565 และ 3. พล.ต.ต.อภิชาติ เพชรประสิทธิ์ รอง ผบช.ส. เกษียณอายุราชการ ปี 2568

รอง ผบก. อาวุโส 3 อันดับแรก ได้แก่ 1. พ.ต.อ.ตรีวิทย์ ศรีประภา รอง ผบก.ภ.จว.สกลนคร เกษียณราชการ ปี 2567 2. พ.ต.อ.ชูศักดิ์ พนัสอัมพร รอง ผบก.อก.สตม. เกษียณอายุราชการ ปี 2565 และ 3. พ.ต.อ.รังสิต โลไทยสงค์ รอง ผบก.ภ.จว.ลำปาง เกษียณราชการ ปี 2564

สำหรับการแต่งตั้งวาระเดือนเมษายน เป็นการแต่งตั้งในตำแหน่ง “ที่ปรึกษาพิเศษสำนักงานตำรวจแห่งชาติ” ยศ พล.ต.อ. ที่ต้องแต่งตั้งจาก ผู้ช่วย ผบ.ตร.ที่ครองตำแหน่งครบ 1 ปี จะเกษียณอายุราชการในอีก 6 เดือนข้างหน้า หรือ สิ้นปีงบประมาณ 2564 “ผู้ทรงคุณวุฒิพิเศษ ตร.” ยศ พล.ต.ท. เทียบเท่าผู้บัญชาการ แต่งตั้งจากรองผู้บัญชาการที่ครองตำแหน่งครบ 1 ปี จะเกษียณในสิ้นปีงบประมาณ 2564 หรือสิ้นเดือนกันยายน 2563 และตำแหน่ง “ผู้ทรงคุณวุฒิ ตร.” ยศ พล.ต.ต.เทียบเท่าผู้บังคับการ แต่งตั้งจากรองผู้บังคับการที่ครองตำแหน่งครบ 5 ปี จะเกษียณอายุราชการในสิ้นปีงบประมาณ 2564 เช่นกัน แต่กฎ ก.ตร.ให้อำนาจ ผบ.ตร.หากในวาระแต่งตั้งเดือนเมษายนมีตำแหน่งเหลือ ยังไม่ครบกรอบจำนวนตำแหน่งกลุ่มนี้ สามารถแต่งตั้งผู้ที่มีคุณสมบัติครบถ้วนเหมาะสมขึ้นดำรงตำแหน่งกลุ่มนี้ได้ แต่ไม่เกินกึ่งหนึ่งของตำแหน่งว่าง

RELATED ARTICLES
- Advertisment -spot_img
- Advertisment -spot_img
- Advertisment -spot_img